Quick Upload
Explore
Features
Support
Contact Us
FAQ
Help Document
Pricing
Sign In
Sign Up
Quick Upload
Explore
Features
Support
Contact Us
FAQ
Help Document
Pricing
Sign In
Sign Up
sitinurhidayah2012
Download PDF
Publications :
5
Followers :
0
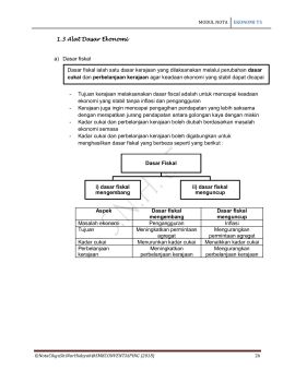
(5.3) ALAT DASAR EKONOMI
(5.3) ALAT DASAR EKONOMI
View Text Version
Category :
0
Follow
0
Embed
Share
Upload
Related publications