Quick Upload
Explore
Features
Support
Contact Us
FAQ
Help Document
Pricing
Sign In
Sign Up
Quick Upload
Explore
Features
Support
Contact Us
FAQ
Help Document
Pricing
Sign In
Sign Up
jimmy.kayson14
Publications :
1
Followers :
0
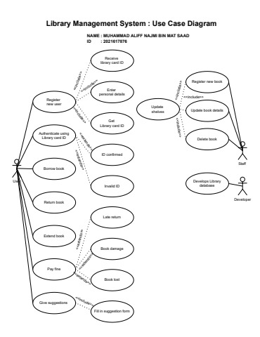
ITT545 | Library Management System - Use Case Diagram
ITT545 Web Engineering
View Text Version
Category :
0
Follow
0
Embed
Share
Upload
Related publications